Ejercicios Productos Notables 1

 matematias

Test que incluye ejercicios sobre los productos notables (Cuadrado de la diferencia de dos términos y Producto de dos binomios que tienen un término común) y factorización

1. Determina si es verdadero o falso:

1132-productos-notables-1.jpg

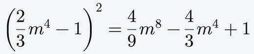
2. Determina si es verdadero o falso:

1133-productos-notables-2.jpg

3. Simplifica la siguiente expresión:

1134-productos-notables-3.jpg

4. Simplifica la siguiente expresión y determina si es verdadero o falso:

1135-productos-notables-4.jpg

5. Simplifica la siguiente expresión y selecciona si es verdadero o falso:

1137-productos-notables-6.jpg

6. Aplica productos notables, calcula y selecciona si es verdadero o falso:

1138-productos-notables-5.jpg

7. Aplica productos notables, calcula y selecciona si es verdadero o falso:

1139-productos-notables-7.jpg

8. Factorizar:

1140-productos-notables-8.jpg

9. Factorizar:

1141-productos-notables-9.jpg

10. Factorizar:

1142-productos-notables-10.jpg